我校电子与信息工程学院陈杰副教授在《Nature Communications》上发表最新研究成果
近日,我校王文洪教授团队在量子材料霍尔效应与量子输运方面取得重要研究进展。研究成果以《Giant magneto-cubic in-plane Hall effect in a nonmagnetic material》为题,发表在《自然·通讯》(Nature Communications)上。天津工业大学为论文第一完成单位和第一通讯单位,我校电子与信息工程学院陈杰副教授为第一作者,香港理工大学曹晋博士为共同一作;我校王文洪教授、复旦大学肖聪研究员和中国科学院物理研究所刘永昌特聘研究员为共同通讯作者。
霍尔效应是研究电子输运与拓扑物性的核心手段之一。近年来,随着拓扑材料和量子输运研究的快速发展,霍尔效应不断演化出新的形式与物理机制。一类在磁场与电流共面构型下产生横向电压的新型霍尔现象——面内霍尔效应(in-plane Hall effect, IPHE)逐渐成为国际前沿热点。不同于传统霍尔效应,IPHE不仅对拓扑能带结构及散射机制极为敏感,而且高度依赖晶体对称性,为探索非常规量子输运机制提供了全新视角。然而,已有研究多集中于磁性材料体系,其复杂磁序及与磁场相互作用往往干扰了对IPHE本征物理机制的深入认识。
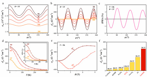
针对上述问题,研究团队选取非磁性half-Heusler合金LuAuSn开展系统研究,首次在非磁体系中实现并验证了长期以来理论所预言的“magneto-cubic面内霍尔效应”。实验发现,该体系不仅呈现出清晰的2π/3周期角度依赖关系,还严格满足磁场三次方(B³)的标度律,体现出典型的C3Z对称性输运特征。更为重要的是,其面内霍尔电导在低温下高达687 Ω⁻¹cm⁻¹,显著超过以往所有已报道体系,并且在室温附近仍保持可观信号,展现出优异的实用潜力。结合第一性原理计算与标度率分析,研究进一步揭示该效应主要来源于杂质与声子散射引发的外禀机制(如side-jump与skew scattering),而非传统内禀贡献。这一结果填补了IPHE研究中外禀机制实验研究的空白,为理解磁场诱导的非线性输运提供了关键证据。
该工作表明,非磁性材料同样可以作为研究复杂霍尔效应的重要平台,不仅深化了对IPHE物理本质的认识,也为发展低功耗磁电器件与新型霍尔传感技术提供了新的材料基础与设计思路。

图1. 面内霍尔效应与LuAuSn晶体结构。a和b分别为面外和面内霍尔效应测量的示意图。c和d分别为C1z和C3z对称性及面内霍尔效应角度依赖关系。e和f分别为C1z和C3z对称性下的面内霍尔效应磁场依赖关系示意图。g LuAuSn晶体结构。h (111) 面的俯视图及C3z对称性。i (111) 面的面内霍尔效应符号变化示意图。j C3z对称性下面内霍尔效应极坐标图。

图2. LuAuSn合金中面内霍尔电导率以及面内霍尔电导率对比;a 和 b 分别为3 T场下角度依赖的面内纵向电导率和面内霍尔电导率。c 在2 K、3 T 时面内霍尔角。d 温度依赖的面内霍尔电导率和面内霍尔角(插图)。e 2 K下磁场依赖面内霍尔电导率。f 现有体系面内霍尔电导率对比。
上述工作得到了国家自然科学基金青年项目和面上项目、科技部重点研发计划等项目的资助和支持。
(审稿:电子与信息工程学院 牛萍娟 编辑:党委宣传部 胡敏)
图片来源:电子与信息工程学院

